티스토리 뷰
[Day 25] GNN
1. 강의 복습 내용
1.1) GNN 기초
GNN
1. 정점 표현 학습
- 정점 표현 학습은 정점 임베딩(Node Embedding) 이라고도 한다.
- 그래프의 정점들을 벡터의 표현하는 것이 목적 (그래프에서의 정점간 유사도를 임베딩 공간에서도 보존)
- 앞에서 알아본 인접성/거리/경로/중첩/임의보행 기반 접근법은 모두 변환식 방법
- 변환식(Transdctive) 방법은 학습의 결과로 정점의 임베딩 자체를 얻음
- 귀납식(Inductive) 방법은 정점을 임베딩으로 변화시키는 함수, 즉 인코더를 얻는다.
- 대표적인 귀납식 임베딩 방법에는 그래프 신경망(Graph Neural Network)가 있다.
1.1) 변환식 방법의 한계
- 학습이 진행된 이후에 추가된 정점에 대해서는 임베딩을 얻을 수 없다. (전체 그래프에서 다시 얻어야함)
- 모든 정점에 대한 임베딩을 미리 계산하여 저장해두어야 한다. (메모리 리스크)
- 정점이 속성(Attribute) 정보를 가진 경우에 이를 활용할 수 없다. (표현력의 한계)
1.2) 귀납식 방법의 장점
- 변환식 방법의 한계를 모두 극복 가능함
- 학습이 진행된 이후에 추가된 정점에 대해서도 임베딩을 얻을 수 있다. (인코더를 얻기 때문)
- 모든 정점에 대한 임베딩을 미리 계산하여 저장해둘 필요가 없다. (인코더를 통해 필요할 때 임베딩을 얻음)
- 정점이 속성(Attribute) 정보를 가진 경우에 이를 활용할 수 있다.
2. 그래프 신경망 기본
2.1) 그래프 신경망 구조

- 그래프 신경망은 그래프와 정점의 속성 정보를 입력으로 받는다.
(예를 들어, 각 정점의 속성을 담은 벡터들로 구성한 인접 행렬을 구성할 수 있음)
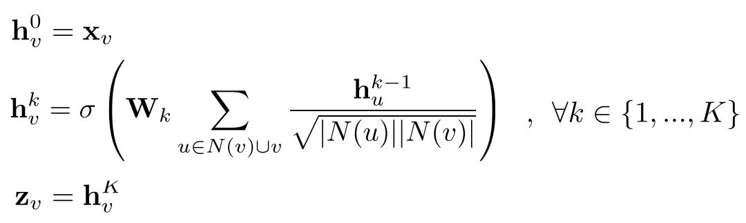
- 그래프 신경망은 이웃 정점들의 정보를 집계하는 과정을 반복하여 임베딩을 얻는다.
- 각 집계 단계를 층(Layer)이라고 부르며, 각 층마다 임베딩을 얻는다.
(각 층에서는 이웃들의 이전 층 임베딩을 집계하여 새로운 임베딩을 얻는다.)
- 따라서 입력은 각 노드의 정보를 담은 벡터가 담겨져 있으므로, 0층의 임베딩은 정점의 속성 벡터를 사용한다.
- 서로 다른 대상 정점간에도 같은 층의 집계 함수는 공유한다.
- 각 층에서의 집계 함수는 (1) 이웃들 정보의 평균을 계산하고 (2) 신경망에 적용 하는 단계를 거친다.

- 마지막 층에서의 정점 별 임베딩이 해당 정점의 출력 임베딩이다.

2.2) 그래프 신경망의 학습
- 그래프 신경망의 학습 변수(Trainable Parameter)는 층 별 신경망의 가중치이다.

- 그래프 신경망을 학습 시키기 위해서는 먼저, 손실함수를 결정해야 한다.
- 손실함수는 정점간 거리를 어떻게 정의하느냐 에 따라 여러가지로 결정할 수 있다.
- 또한, Downstream Task의 손실함수를 이용한 종단종(End-to-End) 학습도 가능하다.
(예를 들어, 각 정점을 Classification하는 Task에서는 손실함수를 Cross Entropy로 정의할 수 있음)

3. 그래프 신경망 변형
- 앞에서 살펴본 그래프 신경망의 집계 함수를 다양한 형태의 집계 함수로 변형하여 사용할 수 있다.
- 그 중에서 대표적인 것이 바로 그래프 합성공 신경망(Graph Convolutional Network, GCN)의 집계 함수
3.1) GCN


- GNN은 집계가 되고 있는 정점의 이전 레이어에서의 임베딩을 별도의 신경망을 이용하여 합계를 해주었지만, GCN은 동일 신경망으로 사용하였다.
- 또한 정규화 방법에서도 GNN은 v의 연결성만 사용하였다면, GCN은 u와 v의 연결성의 기하평균을 사용함
- 이러한 작은 차이로도 큰 성능의 향상으로 이어지기도 한다.
3.2) GraphSAGE

- AGG 함수를 다양하게 사용할 수 있다.

4. 그래프 신경망과 CNN(합성곱 신경망)의 비교
- 합성곱 신경망(CNN)과 그래프 신경망은 모두 이웃의 정보를 집계하는 과정을 반복한다.
- 하지만, CNN은 이웃의 수가 균일하지만(대부분 이미지의 픽셀), 그래프 신경망에서는 균일하지 않다.
- 따라서 그래프의 인접행렬을 가지고 CNN을 적용해봤자 효과적이지 않다.
*) 다시 정리하자면, CNN은 인접 픽셀이 유용한 정보를 담고 있을 가능성이 높기 때문에 적용되는 것이고, 그래프의 인접 행렬에서는 인접 원소는 제한된 정보를 가진다. (인접 행렬의 행과 열의 순서는 임의로 결정되므로)
1.2) GNN 심화
GNN 심화
1. 그래프 신경망에서의 어텐션
1.1) 기본 그래프 신경망의 한계
- 기본 그래프 신경망에서는 이웃들의 정보를 동일한 가중치로 평균을 낸다.
- 그래프 합성공 신경망에서도 역시 단순히 연결성을 고려한 가중치로 평균을 낸다.

- 즉, 그래프에서 이웃 별로 미치는 영향을 각각 다를 수 있지만 기존의 집계 함수에서는 단순 평균을 구하기 때문에 고려할 수 없다는 한계가 있다.
1.2) 그래프 어텐션 신경망
- 그래프 어텐션 신경망(Graph Attention Network, GAT)에서는 가중치 자체도 학습한다.
- 기본 그래프 신경망의 한계(이웃 별로 미치는 영향을 고려)를 보완하기 위해서 Self-Attention이 사용된다.


- 위의 W벡터와 a벡터는 Self-Attention을 학습하면서 학습되어지는 Parameter이다.
- 또한 이웃별 가중치를 두 개 이상으로 표현할 수 있으며, 이 때에는 여러 개의 어텐션을 동시에 학습한 뒤에 결과를 Concat하여 사용한다. 이를 멀티헤드 어텐션(Multi-head Attention) 이라고 부른다.

2. 그래프 표현 학습과 그래프 풀링
2.1) 그래프 표현 학습
- 그래프 표현 학습, 혹은 그래프 임베딩이란 그래프 전체를 벡터의 형태로 표현하는 것
- 개별 정점을 벡터의 형태로 표현하는 정점 표현 학습과 구분된다.
- 그래프 임베딩은 벡터의 형태로 표현된 그래프 자체이다.
- 그래프 임베딩은 그래프 분류 등에 활용될 수 있다. (그래프들을 각각 벡터로 표현할 수 있으므로)
2.2) 그래프 풀링
- 그래프 풀링(Graph Pooling)이란, 정점 임베딩(정점 표현 학습)들로부터 그래프 임베딩을 얻는 과정
- 평균 등 단순한 방법보다 그래프의 구조를 고려한 방법을 사용할 경우, 그래프 분류 등 다운스트림 태스크에서 더 높은 성능을 얻을 수 있다.

- 위의 그림처럼, 그래프 신경망을 사용하여 정점 별 임베딩을 얻고, 군집 구조를 활용하여 군집 별 임베딩을 합산하고 최종적으로 하나의 군집으로 나타내면 최종적으로 그래프의 임베딩을 얻을 수 있다.
3. 지나친 획일화 문제
3.1) 지나친 획일화 문제와 작은 세상 효과
- 지나친 획일화(Over-smoothing) 문제란 그래프 신경망의 층의 수가 증가하면서 정점의 임베딩이 서로 유사해지는 현상을 의미
- 지나친 획일화 문제는 작은 세상 효과와 관련이 있다. (적은 수의 층으로도 다수의 정점에 의해 영향을 받게 됨)
- 왜냐하면 레이어를 5개를 쌓는 다는 것은, 5만큼의 거리에 있는 정점들 까지도 고려하는 것인데, 작은 세상 효과와 같이 아주 큰 그래프일지라도 5~6번의 거리만큼만 가면 그래프의 끝과 끝을 탐색할 수 있다는 문제가 있다.
- 즉, 층을 많이 쌓으면 쌓을 수록 결국 정점 간 임베딩은 모두 유사해지는 것이다.


- 이러한 문제를 해결하기 위해서 위의 예시처럼 전차항(Residual)을 넣는 것, 즉 이전 층의 임베딩을 한번 더 더해주는 것도 시도하였지만, 효과는 제한적이였다.
3.2) 지나친 획일화 문제에 대한 대응
- 이전 층의 임베딩을 한번 더 더해주는 시도도 있었지만, 효과는 미비하였다.
- 하지만 JK 네트워크(Jumping Knowledge Network)는 마지막 층의 임베딩 뿐 아니라, 모든 층의 임베딩을 함께 사용함으로써 이러한 문제를 대응하였다.
- 또한, APPNP은 0번째 층을 제외하고는 신경망 없이 집계 함수를 단순화 하였다.
![]() |
![]() |
4. 그래프 데이터 증강
- 데이터 증강(Data Augmentation)은 다양한 기계학습 문제에서 효과적이다. (데이터가 많아지기 때문에)
- 예를 들어, 이미지 관련 데이터에서는 이미지를 반전시키거나 회전시키고 자르고 하는 방식으로 데이터를 증강시킬 수 있었다.
- 그래프에서도 역시, 데이터 증강이 가능하며 누락되거나 부정확한 간선을 보완할 수 있다.
- 임의 보행을 통해 정점간 유사도를 계산하고, 유사도가 높은 정점 간의 간선을 추가하는 방법이 제안됨

- 이러한 그래프 데이터 증강의 결과, 정점 분류의 정확도가 개선되는 것 또한 입증되었다.

2. 피어 세션
1. 강의에 대한 토의
- GNN에서 정점 표현 학습은 비지도 학습, 정점을 Classification하는 것은 지도 학습인데, 어떻게 Cross-Entropy 손실함수로 End-to-End 학습이 가능할까? -> NLP에선, 비슷한 예로 단어간 유사도를 구하는 비지도 학습을 사전 학습을 통해 가져와 사용한 예시가 있음. -> NLP에서도 이 같은 경우가 가능할까? (BERT의 모델구조만 가져와 Classification task를 수행해보자)
- 완전그래프에 CNN을 적용하면 어떨까? (연결된 모든 정점을 고려할 순 없을 것 같다) -> 이 역시 효율이 떨어짐
- AGG 함수에서 LSTM
- 그래프 신경망과 NLP
3. Conclusion
1. 그래프 신경망과 NLP
그래프에서도 결국 각 정점들을 임베딩하고 임베딩된 정점들을 통해 신경망에서 유사도를 구하고 그것을 가지고 다운스트림 태스크를 수행할 수 있다.
NLP에서도 각 토큰화된 단어들을 임베딩하고, 임베딩된 단어들을 통해 단어간 유사도를 구하고 그것을 가지고 다운스트림 태스크를 수행할 수 있다.
즉 그래프와 NLP 과정은 유사한 것으로 보인다.
그래프에서는 사전에 임베딩하여 유사도를 구하는 방식 -> 변환식 정점 표현, 즉 출력이 임베딩으로 나오고
재귀식 정점 표현에서는, 임베딩을 구하는 함수를 구하는 방식(즉 모델안에서 유사도를 직접 구할 수 있음) -> End-to-End 러닝이 가능한 이유 인것인가?
그렇다면 NLP도 마찬가지로 그래프에서 변환식 정점 표현으로 해당되는 것이 Word2Vec과 GloVe 같은 것인가? 재귀식 정점 표현은 Transfomer를 사용한 모델(Bert, GPT 등) 들을 말하는 것인가?
- 지도 학습
- 비지도 학습
- Self-Superviself-supervised learning
'부스트캠프 AI Tech > 학습정리' 카테고리의 다른 글
[Day 30] Computer Vision (CV) - 1 (0) | 2021.03.08 |
---|---|
[Day 26-29] 특강 (0) | 2021.03.02 |
[Day 24] 정점 표현 & 추천 시스템 (심화) (0) | 2021.02.25 |
[Day 23] 군집 탐색 & 추천시스템 1 (0) | 2021.02.24 |
[Day 22] 페이지랭크 & 전파 모델 (0) | 2021.02.23 |
- Total
- Today
- Yesterday
- 공공데이터
- 백트래킹
- 알고리즘
- Vision AI 경진대회
- 부스트캠프 AI Tech
- python
- Unet
- 그리디
- 백준
- dfs
- DACON
- C++
- 브루트포스
- P-Stage
- 데이터연습
- pandas
- ResNet
- DeepLearning
- 프로그래머스
- 네트워킹데이
- 다이나믹프로그래밍
- AI 프로젝트
- Data Handling
- 이분탐색
- Unet 구현
- cnn
- 동적계획법
- NLP 구현
- 코딩테스트
- 데이터핸들링
일 | 월 | 화 | 수 | 목 | 금 | 토 |
---|---|---|---|---|---|---|
1 | 2 | 3 | 4 | |||
5 | 6 | 7 | 8 | 9 | 10 | 11 |
12 | 13 | 14 | 15 | 16 | 17 | 18 |
19 | 20 | 21 | 22 | 23 | 24 | 25 |
26 | 27 | 28 | 29 | 30 | 31 |